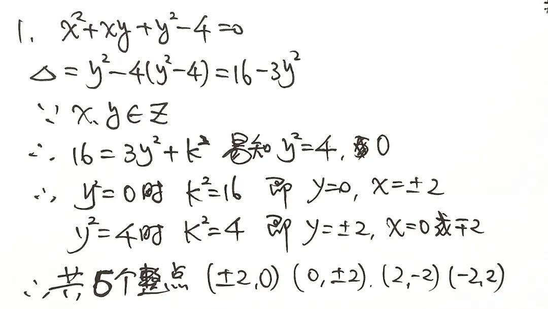
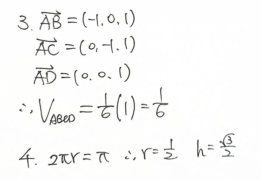
中国科学技术大学2025强基计划校测初试考试结束,那么,此次试题难度如何呢?易单招网小编收集整理了中科大强基初试相关的试题答案分享给大家,一起来看!


















微信识别二维码 关注官方公众号
易单招
微信账号:danzhaobang 复制
易单招合作热线
15996434567
周一至周日:9:00-21:00
2013-2026 易单招,All Rights Reserved.|苏ICP备18060098号-16 |
苏公网安备
50019002502480号
公司地址:南京市栖霞区栖霞街道广月路30-06号

报名咨询
官方微信
